Dataset
This dataset, penguins_size.csv, was sourced from Kaggle.
-
“Cite: Data are available by CC-0 license in accordance with the Palmer Station LTER Data Policy and the LTER Data Access Policy for Type I data.”
-
“Gorman KB, Williams TD, Fraser WR (2014) Ecological Sexual Dimorphism and Environmental Variability within a Community of Antarctic Penguins (Genus Pygoscelis). PLoS ONE 9(3): e90081. doi:10.1371/journal.pone.0090081”
RMarkdown Code
Purpose
This project explores the accuracy of different machine-learning algorithms to predict penguin gender.
Our target variable will be penguin gender.
- Part 1. Data Exploration
- Part 2. Data Cleaning
- Part 3. Data Preprocessing
- Part 4. Clustering
- Part 5. Classification
- Part 6. Evaluation
Part 1. Data Exploration
- Original data: 344 rows, 7 columns
Categorical Variables
| Variable | Description | Unique Values |
|---|---|---|
| Species | Penguin species | Adelie, Chinstrap, Gentoo |
| Island | Island name in the Palmer Archipelago (Antarctica) | Torgersen, Biscoe, Dream |
| Sex | Penguin gender | MALE, FEMALE, NA, “.” |
Numerical Variables
| Measurement | Mean | Min | Max |
|---|---|---|---|
| Culmen Length (mm) | 43.92 | 32.10 | 59.60 |
| Culmen Depth (mm) | 17.15 | 13.10 | 21.50 |
| Flipper Length (mm) | 200.90 | 172.00 | 231.00 |
| Body Mass (g) | 4202 | 2700 | 6300 |
After exploring the data further, there appear to be 2 NAs in each of the columns: culmen_length_mm, culmen_depth_mm, flipper_length_mm, body_mass_g.
At first glance, the sex column has 10 NAs with 1 entry with the unique chr of “.”. This “.” appears to be a placeholder for an unknown data point/ missing data. In total, there are 11 NAs, considering the “.”.
Part 2. Data Cleaning
Let’s consider the missing NAs and determine how much effect they have on the penguin_size data. First, I’ll convert the single “.” entry in the sex column to NA.
After calculating the proportion of missing data per column to see the significance of its impact on the data, here are the results:
| Variable | Missing Percentage |
|---|---|
| species | 0% |
| island | 0% |
| culmen_length_mm | 0.58% |
| culmen_depth_mm | 0.58% |
| flipper_length_mm | 0.58% |
| body_mass_g | 0.58% |
| sex | 3.20% |
The sex column has the most significant impact on the data, with 3.20% contributing to missing NAs. As opposed to 0.58% for culmen_length_mm, culmen_depth_mm, flipper_length_mm, and body_mass_g.
Considering, 3.20% is relatively low, I will drop the NAs since its removal should not have too large of an effect on predictability. After dropping the NAs, 11 rows have been removed, and the dataset now contains 333 rows.
Part 3. Data Preprocessing
In this step, let’s create 2 new columns:
-
culmen_size_mm2: This will be the value of (culmen length x culmen depth), to explore the data more and see if adding this variable can help with prediction accuracy.
-
body_mass_lbs: Converting the body_mass_g column from grams to pounds (body_mass_lbs = body_mass_g / 453.59237).
Next, I’ll convert the categorical variables into factors. I’ll also prepare a subset of the penguin_size data without the class labels to perform clustering. Afterward, I’ll preprocess the data using the center-scaled method.
Since, we’re going to perform predictions using other classifiers, I’ll partition the data after using a 70/30 train-test split and preprocess the data when creating the classifier models.
# Center scale allows us to standardize the data
preproc <- preProcess(predictors_clustering, method = c("center", "scale"))
# We have to call predict to fit our data based on preprocessing
# Using predictors_clustering for Clustering
predictors_clustering <- predict(preproc, predictors_clustering)
# Partitioning the data to be used in Classification
index = createDataPartition(y = penguin_size$sex, p = 0.7, list=FALSE)
# Everything in the generated index list
train_penguin = penguin_size[index,]
# Everything except the generated indices
test_penguin = penguin_size[-index,]
Part 4. Clustering
Let’s use kmeans to determine the best number for K before clustering. Using the plots for the Within Sum of Squares method and the Silhouette method.
- Using the Within Sum of Squares method, K = 4 represents the last non flat slope, or some argue that we should use K = 5 because that is the last point before the slope goes flat.
- Using the Silhouette method, K = 2.

Either option can be justified but since the K = 4 is the second best option for the silhouette score it is a promising option for both. Using K = 4 as suggested by the plots we can fit our model using the kmeans function.
Below are the plots created with K = 4
-
Cluster plot

-
PCA Projection Colored by Penguin Gender

-
PCA Projection Colored by Cluster

Part 5. Classification
Now that we’ve partitioned that data in part 3. Data Preprocessing, let’s preprocess the data as we create the classifiers.
Using SVM, and grid search to tune for C: The final value used for the model was C = 0.1.
- Accuracy was 0.9777766.
svm_grid
Support Vector Machines with Linear Kernel
234 samples
8 predictor
2 classes: 'FEMALE', 'MALE'
Pre-processing: centered (10), scaled (10)
Resampling: Cross-Validated (10 fold, repeated 25 times)
Summary of sample sizes: 211, 210, 211, 211, 210, 211, ...
Resampling results across tuning parameters:
C ROC Sens Spec
1e-05 0.2668214 0.1937576 0.9116364
1e-04 0.8836749 0.1933939 0.9112727
1e-03 0.8836446 0.8833030 0.6864545
1e-02 0.9632826 0.8945152 0.9023333
1e-01 0.9777766 0.8927879 0.9305455
1e+00 0.9764396 0.9048182 0.9250606
1e+01 0.9749635 0.9105152 0.9171212
1e+02 0.9741568 0.9092121 0.9110909
1e+03 0.9733584 0.9055758 0.9047576
ROC was used to select the optimal model using the largest value.
The final value used for the model was C = 0.1.
Using KNN, and tuning the choice of k plus the type of distance function: The final values used for the model were kmax = 7, distance = 2 and kernel = cos.
- Accuracy was 0.9228261.
kknn_fit
k-Nearest Neighbors
234 samples
8 predictor
2 classes: 'FEMALE', 'MALE'
Pre-processing: centered (10), scaled (10)
Resampling: Cross-Validated (10 fold)
Summary of sample sizes: 211, 210, 211, 211, 211, 210, ...
Resampling results across tuning parameters:
kmax kernel distance Accuracy Kappa
1 rectangular 1 0.8755435 0.7508191
1 rectangular 2 0.8759058 0.7515104
1 rectangular 3 0.8759058 0.7517089
1 cos 1 0.8755435 0.7508191
1 cos 2 0.8759058 0.7515104
1 cos 3 0.8759058 0.7517089
2 rectangular 1 0.8755435 0.7508191
2 rectangular 2 0.8759058 0.7515104
2 rectangular 3 0.8759058 0.7517089
2 cos 1 0.8755435 0.7508191
2 cos 2 0.8759058 0.7515104
2 cos 3 0.8759058 0.7517089
3 rectangular 1 0.9143116 0.8284392
3 rectangular 2 0.9143116 0.8281082
3 rectangular 3 0.8967391 0.7927771
3 cos 1 0.8969203 0.7935885
3 cos 2 0.8885870 0.7766558
3 cos 3 0.9012681 0.8020682
4 rectangular 1 0.9143116 0.8284392
4 rectangular 2 0.9143116 0.8281082
4 rectangular 3 0.8967391 0.7927771
4 cos 1 0.9012681 0.8023998
4 cos 2 0.9014493 0.8024129
4 cos 3 0.9097826 0.8189458
5 rectangular 1 0.9057971 0.8113609
5 rectangular 2 0.9144928 0.8285204
5 rectangular 3 0.8925725 0.7843147
5 cos 1 0.9097826 0.8196108
5 cos 2 0.8972826 0.7940796
5 cos 3 0.8971014 0.7936014
6 rectangular 1 0.9057971 0.8111629
6 rectangular 2 0.9144928 0.8285204
6 rectangular 3 0.9012681 0.8016041
6 cos 1 0.9097826 0.8196108
6 cos 2 0.9057971 0.8110296
6 cos 3 0.8971014 0.7934671
7 rectangular 1 0.9099638 0.8194962
7 rectangular 2 0.9184783 0.8363105
7 rectangular 3 0.9014493 0.8021503
7 cos 1 0.9141304 0.8282236
7 cos 2 0.9228261 0.8452535
7 cos 3 0.9141304 0.8274952
Accuracy was used to select the optimal model using the largest value.
The final values used for the model were kmax = 7, distance = 2 and kernel = cos.
Using Decision Tree, and basic rpart method, the final value used for the model was cp = 0.01724138.
- Accuracy was 0.8425231.
decision_tree
CART
234 samples
8 predictor
2 classes: 'FEMALE', 'MALE'
Pre-processing: centered (10), scaled (10)
Resampling: Cross-Validated (10 fold)
Summary of sample sizes: 212, 210, 210, 211, 211, 210, ...
Resampling results across tuning parameters:
cp Accuracy Kappa
0.01724138 0.8425231 0.6842408
0.10344828 0.7948452 0.5898477
0.63793103 0.6629611 0.3172756
Accuracy was used to select the optimal model using the largest value.
The final value used for the model was cp = 0.01724138.

When comparing the classifiers to predict the penguin’s sex, SVM performed the best, with an accuracy of 0.9777766. KNN was a close second with an accuracy of 0.9228261.
- For part 6. Evaluation, let’s proceed with the best performing classifier, SVM.
Part 6. Evaluation
After producing the 2 x 2 confusion matrix for the FEMALE and MALE classes, here is the result:
| Prediction | FEMALE | MALE |
|---|---|---|
| FEMALE | 45 | 9 |
| MALE | 4 | 41 |
Since the confusion matrix object only shows statistics for ‘Positive’ Class : FEMALE, I created a confusion matrix for ‘Positive’ Class : MALE, combined their class statistics in a dataset to easily pull calculations.
When calculating precision manually, here is the result:
| Class | Precision |
|---|---|
| FEMALE | 0.8333333 |
| MALE | 0.9111111 |
When calculating recall manually, here is the result:
| Class | Recall |
|---|---|
| FEMALE | 0.9183673 |
| MALE | 0.8200000 |
When analyzing the statistics above, MALE appears to have a higher precision and FEMALE appears to have a higher recall.
Precision measures the accuracy of forming positive predictions. Recall measures the model’s ability to find true positives.
In summary, high precision is important when failing to identify a negative prediction as a false positive is more costly than missing actual false negatives (positive predictions). High recall is important when failing to identify a positive prediction is more costly than incorrectly identifying a negative case.
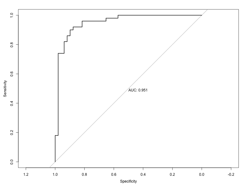
The ROC curve will plot Recall or Sensitivity (True Positive Rate) against Specificity (False Positive Rate). In this result, the area under the ROC curve (AUC) has a high value with AUC: 0.951, indicating good test performance and classification abilities. The model can identify the differences positive and negative classes effectively.

After performing analysis to predict penguin gender using the three classifiers above, SVM performed the best with an accuracy of 0.9777766 with tuning C = 0.1. Adjusting the SVM classifier’s train control and train method to plot an ROC curve initially posed a challenge but after figuring out it is possible really opened my mind to understand just how vast and powerful of a tool R can be to perform machine learning models.
Before performing the analysis, I was predicting that Decision Tree would work the best since we are predicting 2 different classes, MALE and FEMALE. However, it produced the worst result with an accuracy of 0.8425231. One major takeaway from testing the Decision Tree classifier is that it used the variable I created called culmen_size_mm2 when classifying between MALE and FEMALE genders. So, my original assumption about the classifier using this new variable to help with predictions turned out to be true.
- culmen_size_mm2 = culmen_length_mm x culmen_ depth _mm
When cleaning the data to identify unique values for each categorical variable, I was surprised to find the anomaly entry of “.” In the sex column. Which turned out to be a human error. If the data was not cleaned prior to running the classifiers, this could have been detrimental to the performance of the classifiers. After reflecting on this scenario, it really is true that data cleaning can take 60-80% of the testing process and it is a step not to be ignored.